Номер 1.202, страница 71 - гдз по алгебре 10 класс учебник Арефьева, Пирютко

Алгебра, 10 класс Учебник, авторы: Арефьева Ирина Глебовна, Пирютко Ольга Николаевна, издательство Народная асвета, Минск, 2019, голубого цвета

Авторы: Арефьева И. Г., Пирютко О. Н.

Тип: Учебник

Издательство: Народная асвета

Год издания: 2019 - 2025

Цвет обложки: голубой с графиком

Допущено Министерством образования Республики Беларусь

Популярные ГДЗ в 10 классе

Глава 1. Тригонометрия. Параграф 5. Функции у=sin(x) и y=cos(x). Их свойства и графики - номер 1.202, страница 71.

№1.202 (с. 71)
Условие. №1.202 (с. 71)
скриншот условия
Алгебра, 10 класс Учебник, авторы: Арефьева Ирина Глебовна, Пирютко Ольга Николаевна, издательство Народная асвета, Минск, 2019, голубого цвета, страница 71, номер 1.202, Условие

1.202*. Найдите наименьшее и наибольшее целые значения функции:

a) $y=1,2\cos\frac{x}{5}+3;$

б) $y=-3,28\sin(9x+\frac{\pi}{12})-1.$

Решение. №1.202 (с. 71)
Алгебра, 10 класс Учебник, авторы: Арефьева Ирина Глебовна, Пирютко Ольга Николаевна, издательство Народная асвета, Минск, 2019, голубого цвета, страница 71, номер 1.202, Решение Алгебра, 10 класс Учебник, авторы: Арефьева Ирина Глебовна, Пирютко Ольга Николаевна, издательство Народная асвета, Минск, 2019, голубого цвета, страница 71, номер 1.202, Решение (продолжение 2)
Решение 2. №1.202 (с. 71)

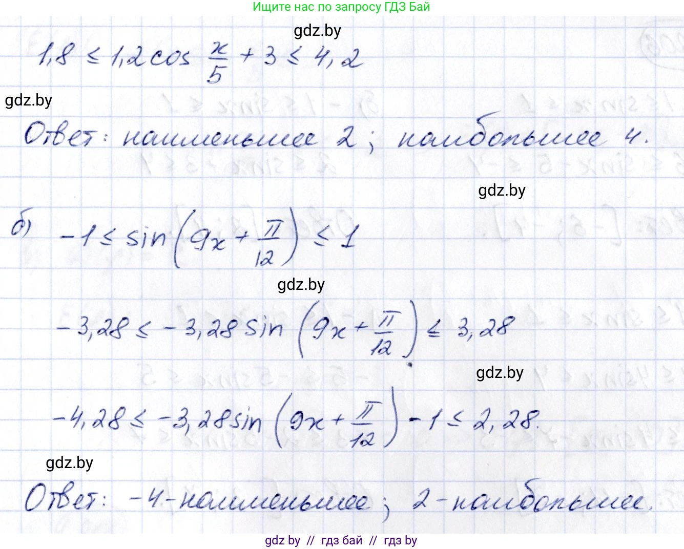
Чтобы найти наименьшее и наибольшее целые значения функции, сначала определим область значений каждой функции (т.е. промежуток, в котором лежат все возможные значения $y$), а затем выберем из этого промежутка наименьшее и наибольшее целые числа.

а) Рассмотрим функцию $y = 1,2\cos\frac{x}{5} + 3$.

Область значений функции косинус находится в промежутке от -1 до 1. Это можно записать в виде двойного неравенства:

$-1 \le \cos\frac{x}{5} \le 1$

Теперь выполним преобразования, чтобы получить выражение для $y$. Сначала умножим все части неравенства на 1,2:

$1,2 \cdot (-1) \le 1,2\cos\frac{x}{5} \le 1,2 \cdot 1$

$-1,2 \le 1,2\cos\frac{x}{5} \le 1,2$

Затем прибавим 3 ко всем частям неравенства:

$-1,2 + 3 \le 1,2\cos\frac{x}{5} + 3 \le 1,2 + 3$

$1,8 \le y \le 4,2$

Итак, область значений функции $y$ — это промежуток $[1,8; 4,2]$.

Нам нужно найти целые числа, которые находятся в этом промежутке. Это числа 2, 3 и 4.

Среди этих чисел наименьшим является 2, а наибольшим — 4.

Ответ: наименьшее целое значение равно 2, наибольшее целое значение равно 4.

б) Рассмотрим функцию $y = -3,28\sin(9x + \frac{\pi}{12}) - 1$.

Область значений функции синус, так же как и у косинуса, находится в промежутке от -1 до 1:

$-1 \le \sin(9x + \frac{\pi}{12}) \le 1$

Выполним преобразования. Умножим все части неравенства на -3,28. При умножении на отрицательное число знаки неравенства меняются на противоположные:

$-3,28 \cdot 1 \le -3,28\sin(9x + \frac{\pi}{12}) \le -3,28 \cdot (-1)$

$-3,28 \le -3,28\sin(9x + \frac{\pi}{12}) \le 3,28$

Теперь вычтем 1 из всех частей неравенства:

$-3,28 - 1 \le -3,28\sin(9x + \frac{\pi}{12}) - 1 \le 3,28 - 1$

$-4,28 \le y \le 2,28$

Область значений функции $y$ — это промежуток $[-4,28; 2,28]$.

Целые числа, которые находятся в этом промежутке: -4, -3, -2, -1, 0, 1, 2.

Среди этих чисел наименьшим является -4, а наибольшим — 2.

Ответ: наименьшее целое значение равно -4, наибольшее целое значение равно 2.

Помогло решение? Оставьте отзыв в комментариях ниже.

Присоединяйтесь к Телеграм-группе @gdz_by_belarus

Присоединиться

Мы подготовили для вас ответ c подробным объяснением домашего задания по алгебре за 10 класс, для упражнения номер 1.202 расположенного на странице 71 к учебнику 2019 года издания для учащихся школ и гимназий.

Теперь на нашем сайте ГДЗ.ТОП вы всегда легко и бесплатно найдёте условие с правильным ответом на вопрос «Как решить ДЗ» и «Как сделать» задание по алгебре к упражнению №1.202 (с. 71), авторов: Арефьева (Ирина Глебовна), Пирютко (Ольга Николаевна), учебного пособия издательства Народная асвета.