Номер 225, страница 94 - гдз по геометрии 10 класс учебник Латотин, Чеботаревский

Геометрия, 10 класс Учебник, авторы: Латотин Леонид Александрович, Чеботаревский Борис Дмитриевич, Горбунова Ирина Владимировна, издательство Адукацыя i выхаванне, Минск, 2020, белого цвета

Авторы: Латотин Л. А., Чеботаревский Б. Д., Горбунова И. В.

Тип: Учебник

Издательство: Адукацыя i выхаванне

Год издания: 2020 - 2025

Уровень обучения: базовый и повышенный

Цвет обложки: белый в клеточку

Допущено Министерством образования Республики Беларусь

Популярные ГДЗ в 10 классе

Раздел 3. Перпендикулярность прямых и плоскостей. Параграф 7. Перпендикулярность прямой и плоскости. Задания - номер 225, страница 94.

№225 (с. 94)
Условие. №225 (с. 94)
скриншот условия
Геометрия, 10 класс Учебник, авторы: Латотин Леонид Александрович, Чеботаревский Борис Дмитриевич, Горбунова Ирина Владимировна, издательство Адукацыя i выхаванне, Минск, 2020, белого цвета, страница 94, номер 225, Условие

225. На прямой, перпендикулярной плоскости $\alpha$ и пересекающей её в точке $O$, выбраны две точки $A$ и $B$, а на плоскости $\alpha$ — такая точка $X$, что $XA = 3$, $XB = 4$. Найдите $XO$, учитывая, что:

а) $AB = 5$;

б) $AB = 6$;

в) $AB = 7$.

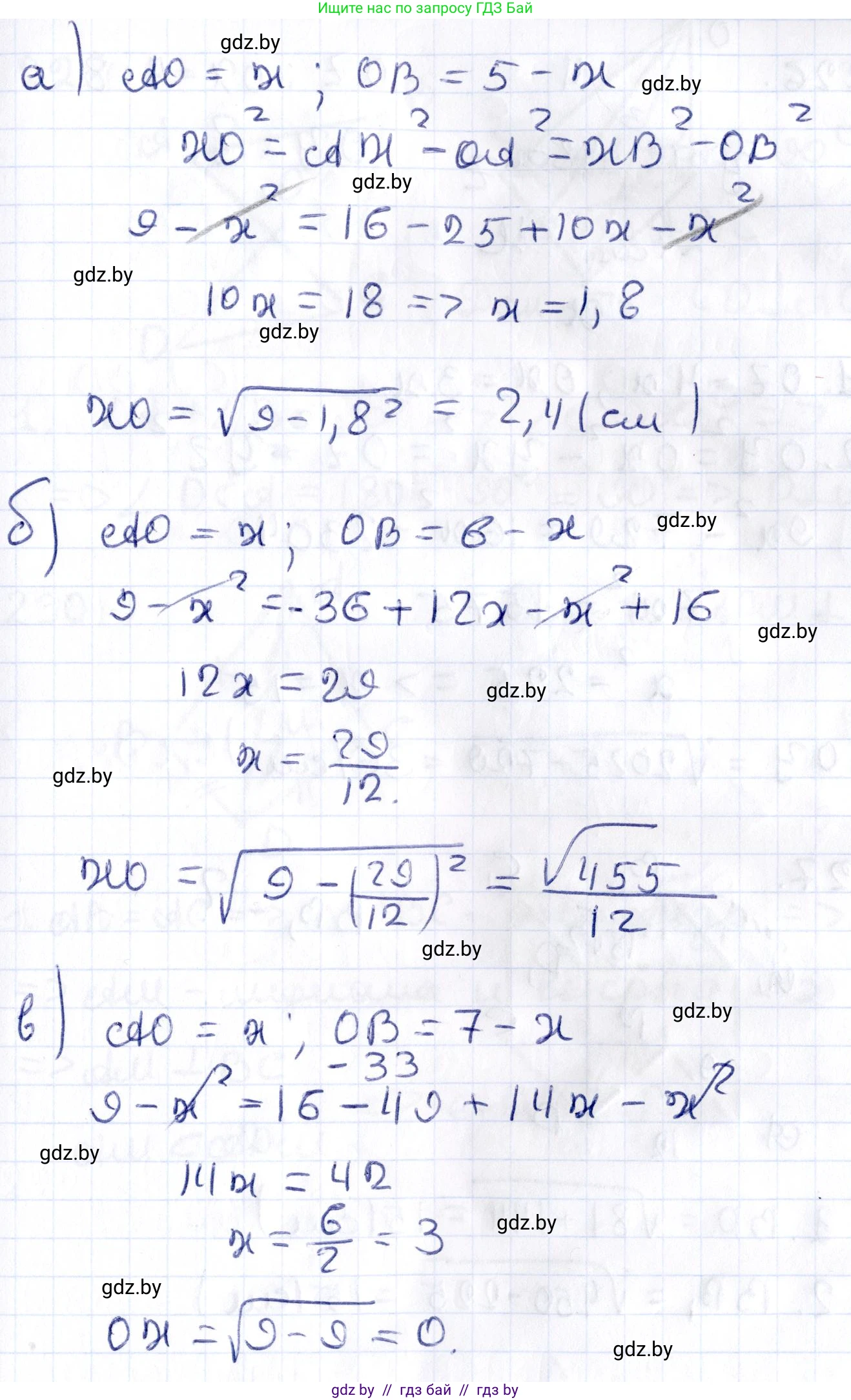
Решение 2. №225 (с. 94)
Геометрия, 10 класс Учебник, авторы: Латотин Леонид Александрович, Чеботаревский Борис Дмитриевич, Горбунова Ирина Владимировна, издательство Адукацыя i выхаванне, Минск, 2020, белого цвета, страница 94, номер 225, Решение 2 Геометрия, 10 класс Учебник, авторы: Латотин Леонид Александрович, Чеботаревский Борис Дмитриевич, Горбунова Ирина Владимировна, издательство Адукацыя i выхаванне, Минск, 2020, белого цвета, страница 94, номер 225, Решение 2 (продолжение 2)
Решение 3. №225 (с. 94)

Пусть дана плоскость $\alpha$ и прямая $l$, перпендикулярная этой плоскости и пересекающая ее в точке $O$. Точки $A$ и $B$ лежат на прямой $l$, а точка $X$ лежит в плоскости $\alpha$.

Поскольку прямая $l$ перпендикулярна плоскости $\alpha$, она перпендикулярна любой прямой, лежащей в этой плоскости и проходящей через точку $O$. В частности, прямая $l$ перпендикулярна прямой $XO$. Так как точки $A, O, B$ лежат на прямой $l$, то отрезки $OA$ и $OB$ перпендикулярны отрезку $XO$.

Таким образом, треугольники $\triangle XOA$ и $\triangle XOB$ являются прямоугольными с прямым углом при вершине $O$.

По теореме Пифагора для этих треугольников имеем:

$XA^2 = XO^2 + OA^2$

$XB^2 = XO^2 + OB^2$

По условию задачи $XA = 3$ и $XB = 4$. Обозначим искомое расстояние $XO = d$, а также $OA = a$ и $OB = b$. Тогда уравнения примут вид:

$3^2 = d^2 + a^2 \implies 9 = d^2 + a^2 \implies a^2 = 9 - d^2$

$4^2 = d^2 + b^2 \implies 16 = d^2 + b^2 \implies b^2 = 16 - d^2$

Так как квадраты длин отрезков $a^2$ и $b^2$ не могут быть отрицательными, то $9 - d^2 \ge 0$, откуда $d^2 \le 9$. Следовательно, допустимые значения для $d$ лежат в диапазоне $0 \le d \le 3$.

Точки $A$, $O$, $B$ лежат на одной прямой $l$. Возможны два случая их взаимного расположения:

1. Точка $O$ лежит между точками $A$ и $B$. Тогда расстояние $AB = OA + OB = a + b$.

2. Точки $A$ и $B$ лежат по одну сторону от точки $O$. Тогда расстояние $AB = |OA - OB| = |a - b|$.

Рассмотрим каждый из предложенных вариантов.

а) $AB = 5$.

Случай 1: Точка $O$ лежит между точками $A$ и $B$.

Тогда $AB = a + b = 5$, то есть $\sqrt{9 - d^2} + \sqrt{16 - d^2} = 5$.

Перенесем один из корней в правую часть и возведем обе части уравнения в квадрат:

$\sqrt{16 - d^2} = 5 - \sqrt{9 - d^2}$

$(\sqrt{16 - d^2})^2 = (5 - \sqrt{9 - d^2})^2$

$16 - d^2 = 25 - 10\sqrt{9 - d^2} + (9 - d^2)$

$16 - d^2 = 34 - d^2 - 10\sqrt{9 - d^2}$

$10\sqrt{9 - d^2} = 34 - 16$

$10\sqrt{9 - d^2} = 18$

$\sqrt{9 - d^2} = 1.8$

Возведем в квадрат еще раз:

$9 - d^2 = 1.8^2 = 3.24$

$d^2 = 9 - 3.24 = 5.76$

$d = \sqrt{5.76} = 2.4$.

Это значение удовлетворяет условию $0 \le d \le 3$, значит, является решением.

Случай 2: Точки $A$ и $B$ лежат по одну сторону от $O$.

Тогда $AB = |a - b| = 5$. Так как $b^2 = 16 - d^2 > 9 - d^2 = a^2$, то $b > a$, и $b - a = 5$.

$\sqrt{16 - d^2} - \sqrt{9 - d^2} = 5$

$\sqrt{16 - d^2} = 5 + \sqrt{9 - d^2}$

$16 - d^2 = 25 + 10\sqrt{9 - d^2} + (9 - d^2)$

$16 - d^2 = 34 - d^2 + 10\sqrt{9 - d^2}$

$10\sqrt{9 - d^2} = 16 - 34 = -18$.

Так как значение квадратного корня не может быть отрицательным, в этом случае решений нет.

Следовательно, существует единственное решение.

Ответ: 2,4.

б) $AB = 6$.

Аналогично пункту а), рассмотрим два случая.

Случай 1: Точка $O$ лежит между точками $A$ и $B$.

$a + b = 6 \implies \sqrt{9 - d^2} + \sqrt{16 - d^2} = 6$.

$\sqrt{16 - d^2} = 6 - \sqrt{9 - d^2}$

$16 - d^2 = 36 - 12\sqrt{9 - d^2} + (9 - d^2)$

$16 - d^2 = 45 - d^2 - 12\sqrt{9 - d^2}$

$12\sqrt{9 - d^2} = 45 - 16 = 29$

$\sqrt{9 - d^2} = \frac{29}{12}$

$9 - d^2 = (\frac{29}{12})^2 = \frac{841}{144}$

$d^2 = 9 - \frac{841}{144} = \frac{1296 - 841}{144} = \frac{455}{144}$

$d = \sqrt{\frac{455}{144}} = \frac{\sqrt{455}}{12}$.

Проверим условие $d^2 \le 9$: $\frac{455}{144} \approx 3.16$, что меньше 9. Решение допустимо.

Случай 2: Точки $A$ и $B$ лежат по одну сторону от $O$.

$b - a = 6 \implies \sqrt{16 - d^2} - \sqrt{9 - d^2} = 6$.

Выполнив аналогичные преобразования, получим $12\sqrt{9 - d^2} = -29$, что не имеет решений.

Следовательно, существует единственное решение.

Ответ: $\frac{\sqrt{455}}{12}$.

в) $AB = 7$.

В этом случае можно применить геометрический подход. Рассмотрим треугольник $\triangle XAB$. Его стороны равны $XA = 3$, $XB = 4$, $AB = 7$.

Заметим, что выполняется равенство $XA + XB = 3 + 4 = 7 = AB$. Согласно неравенству треугольника, это возможно только в том случае, если точки $X$, $A$ и $B$ лежат на одной прямой, причем точка $A$ находится между $X$ и $B$.

Однако по условию задачи точка $X$ лежит в плоскости $\alpha$, а точки $A$ и $B$ лежат на прямой $l$, которая перпендикулярна плоскости $\alpha$ и пересекает ее в точке $O$. Единственная общая точка прямой $l$ и плоскости $\alpha$ - это точка $O$. Чтобы точки $X$, $A$, $B$ были коллинеарны, точка $X$ должна лежать на прямой $l$. Следовательно, $X$ должна совпадать с точкой $O$.

Если $X$ совпадает с $O$, то искомое расстояние $XO = 0$.

Проверим, выполняются ли при этом остальные условия задачи. Если $XO=0$, то из уравнений Пифагора:

$OA^2 = XA^2 - XO^2 = 3^2 - 0^2 = 9 \implies OA = 3$.

$OB^2 = XB^2 - XO^2 = 4^2 - 0^2 = 16 \implies OB = 4$.

Расстояние между точками $A$ и $B$ на прямой $l$ равно либо $OA+OB$, либо $|OA-OB|$.

$OA + OB = 3 + 4 = 7$.

Это соответствует условию $AB=7$, что означает, что точка $O$ лежит между точками $A$ и $B$. Все условия задачи выполнены.

Таким образом, $XO=0$.

Ответ: 0.

Помогло решение? Оставьте отзыв в комментариях ниже.

Присоединяйтесь к Телеграм-группе @gdz_by_belarus

Присоединиться

Мы подготовили для вас ответ c подробным объяснением домашего задания по геометрии за 10 класс, для упражнения номер 225 расположенного на странице 94 к учебнику 2020 года издания для учащихся школ и гимназий.

Теперь на нашем сайте ГДЗ.ТОП вы всегда легко и бесплатно найдёте условие с правильным ответом на вопрос «Как решить ДЗ» и «Как сделать» задание по геометрии к упражнению №225 (с. 94), авторов: Латотин (Леонид Александрович), Чеботаревский (Борис Дмитриевич), Горбунова (Ирина Владимировна), базовый и повышенный уровень обучения учебного пособия издательства Адукацыя i выхаванне.