Номер 1.66, страница 20 - гдз по алгебре 11 класс учебник Арефьева, Пирютко

Алгебра, 11 класс Учебник, авторы: Арефьева Ирина Глебовна, Пирютко Ольга Николаевна, издательство Народная асвета, Минск, 2020, бирюзового цвета

Авторы: Арефьева И. Г., Пирютко О. Н.

Тип: Учебник

Издательство: Народная асвета

Год издания: 2020 - 2025

Цвет обложки: бирюзовый, зелёный с графиком

ISBN: 978-985-03-3165-6

Популярные ГДЗ в 11 классе

Глава 1. Обобщение понятия степени. Параграф 1. Степень с рациональным показателем и ее свойства. Степень с действительным показателем - номер 1.66, страница 20.

№1.66 (с. 20)
Условие. №1.66 (с. 20)
скриншот условия
Алгебра, 11 класс Учебник, авторы: Арефьева Ирина Глебовна, Пирютко Ольга Николаевна, издательство Народная асвета, Минск, 2020, бирюзового цвета, страница 20, номер 1.66, Условие

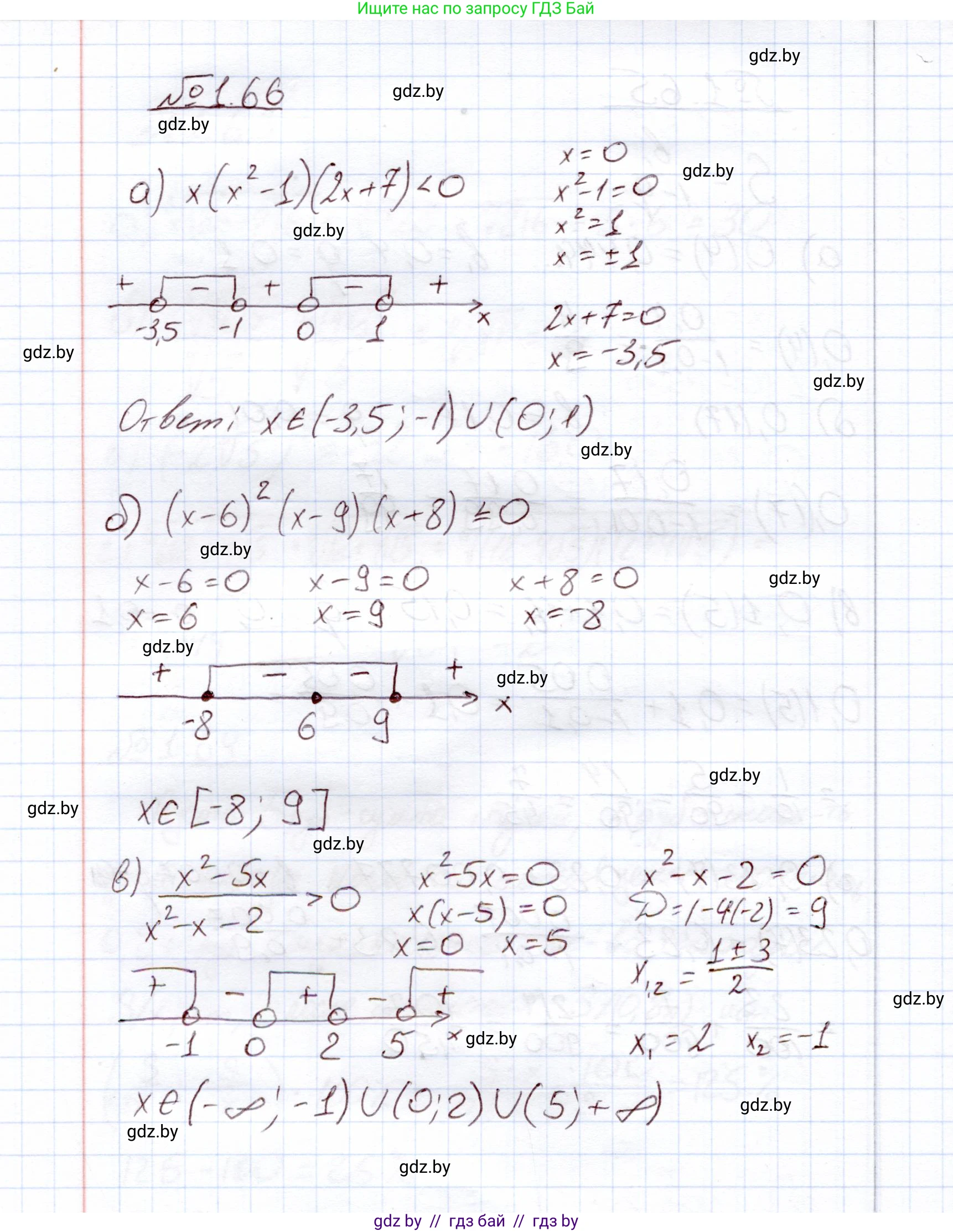
1.66. Решите неравенство с помощью метода интервалов:

а) $x(x^2 - 1)(2x + 7) < 0$;

б) $(x - 6)^2(x - 9)(x + 8) \le 0$;

в) $\frac{x^2 - 5x}{x^2 - x - 2} > 0$;

г) $\frac{(x^2 - 4)^2}{x^2 - 3x - 28} \ge 0$.

Решение. №1.66 (с. 20)
Алгебра, 11 класс Учебник, авторы: Арефьева Ирина Глебовна, Пирютко Ольга Николаевна, издательство Народная асвета, Минск, 2020, бирюзового цвета, страница 20, номер 1.66, Решение Алгебра, 11 класс Учебник, авторы: Арефьева Ирина Глебовна, Пирютко Ольга Николаевна, издательство Народная асвета, Минск, 2020, бирюзового цвета, страница 20, номер 1.66, Решение (продолжение 2)
Решение 2. №1.66 (с. 20)

а)

Дано неравенство $x(x^2 - 1)(2x + 7) < 0$.

1. Разложим на множители выражение в левой части:

$x(x - 1)(x + 1)(2x + 7) < 0$

2. Найдем нули функции $f(x) = x(x - 1)(x + 1)(2x + 7)$, решив уравнение $f(x) = 0$:

$x = 0$

$x - 1 = 0 \Rightarrow x = 1$

$x + 1 = 0 \Rightarrow x = -1$

$2x + 7 = 0 \Rightarrow x = -3.5$

3. Отметим найденные точки на числовой оси. Так как неравенство строгое (<), все точки будут выколотыми.

Расположим корни в порядке возрастания: -3.5, -1, 0, 1.

4. Определим знаки функции на полученных интервалах:

$(-\infty; -3.5)$, $(-3.5; -1)$, $(-1; 0)$, $(0; 1)$, $(1; +\infty)$

Возьмем пробную точку из крайнего правого интервала, например $x=2$:

$2(2 - 1)(2 + 1)(2 \cdot 2 + 7) = 2 \cdot 1 \cdot 3 \cdot 11 > 0$. Знак "+".

Так как все корни имеют нечетную кратность (равную 1), знаки на интервалах будут чередоваться:

+ на $(1; +\infty)$

- на $(0; 1)$

+ на $(-1; 0)$

- на $(-3.5; -1)$

+ на $(-\infty; -3.5)$

5. Нам нужны интервалы, где выражение меньше нуля, то есть где стоит знак "-".

Это интервалы $(-3.5; -1)$ и $(0; 1)$.

Ответ: $x \in (-3.5; -1) \cup (0; 1)$.

б)

Дано неравенство $(x - 6)^2(x - 9)(x + 8) \leq 0$.

1. Левая часть уже разложена на множители.

2. Найдем нули функции $f(x) = (x - 6)^2(x - 9)(x + 8)$, решив уравнение $f(x) = 0$:

$x - 6 = 0 \Rightarrow x = 6$ (корень кратности 2)

$x - 9 = 0 \Rightarrow x = 9$ (корень кратности 1)

$x + 8 = 0 \Rightarrow x = -8$ (корень кратности 1)

3. Отметим найденные точки на числовой оси. Так как неравенство нестрогое ($\leq$), все точки будут закрашенными.

Расположим корни в порядке возрастания: -8, 6, 9.

4. Определим знаки функции на полученных интервалах:

$(-\infty; -8]$, $[-8; 6]$, $[6; 9]$, $[9; +\infty)$

Возьмем пробную точку из крайнего правого интервала, например $x=10$:

$(10 - 6)^2(10 - 9)(10 + 8) = 4^2 \cdot 1 \cdot 18 > 0$. Знак "+".

При переходе через корень $x=9$ (нечетная кратность) знак меняется на "-".

При переходе через корень $x=6$ (четная кратность) знак не меняется, остается "-".

При переходе через корень $x=-8$ (нечетная кратность) знак меняется на "+".

Знаки на интервалах: + на $(-\infty; -8)$, - на $(-8; 6)$, - на $(6; 9)$, + на $(9; +\infty)$.

5. Нам нужны промежутки, где выражение меньше или равно нулю. Это интервалы со знаком "-" и сами точки, где выражение равно нулю.

Интервал $[-8; 9]$ удовлетворяет условию $f(x) \leq 0$.

Ответ: $x \in [-8; 9]$.

в)

Дано неравенство $\frac{x^2 - 5x}{x^2 - x - 2} > 0$.

1. Разложим числитель и знаменатель на множители.

Числитель: $x^2 - 5x = x(x - 5)$. Нули: $x=0, x=5$.

Знаменатель: $x^2 - x - 2 = 0$. По теореме Виета корни $x_1=2, x_2=-1$. Значит, $x^2 - x - 2 = (x - 2)(x + 1)$. Нули знаменателя: $x=2, x=-1$.

Неравенство принимает вид: $\frac{x(x - 5)}{(x - 2)(x + 1)} > 0$.

2. Найдем нули числителя и знаменателя. Это точки $x=-1, x=0, x=2, x=5$.

3. Отметим точки на числовой оси. Так как неравенство строгое (>), все точки (и нули числителя, и нули знаменателя) будут выколотыми.

Расположим корни в порядке возрастания: -1, 0, 2, 5.

4. Определим знаки на полученных интервалах:

$(-\infty; -1)$, $(-1; 0)$, $(0; 2)$, $(2; 5)$, $(5; +\infty)$

Возьмем пробную точку $x=6$ из крайнего правого интервала:

$\frac{6(6 - 5)}{(6 - 2)(6 + 1)} = \frac{+ \cdot +}{+ \cdot +} > 0$. Знак "+".

Все корни имеют кратность 1, поэтому знаки чередуются:

+ на $(5; +\infty)$

- на $(2; 5)$

+ на $(0; 2)$

- на $(-1; 0)$

+ на $(-\infty; -1)$

5. Нам нужны интервалы, где выражение больше нуля (знак "+").

Это интервалы $(-\infty; -1)$, $(0; 2)$ и $(5; +\infty)$.

Ответ: $x \in (-\infty; -1) \cup (0; 2) \cup (5; +\infty)$.

г)

Дано неравенство $\frac{(x^2 - 4)^2}{x^2 - 3x - 28} \ge 0$.

1. Разложим числитель и знаменатель на множители.

Числитель: $(x^2 - 4)^2 = ((x - 2)(x + 2))^2 = (x - 2)^2(x + 2)^2$. Нули числителя: $x=2$ (кратность 2), $x=-2$ (кратность 2).

Знаменатель: $x^2 - 3x - 28 = 0$. По теореме Виета корни $x_1=7, x_2=-4$. Значит, $x^2 - 3x - 28 = (x - 7)(x + 4)$. Нули знаменателя: $x=7, x=-4$.

Неравенство принимает вид: $\frac{(x - 2)^2(x + 2)^2}{(x - 7)(x + 4)} \ge 0$.

2. Отметим нули числителя и знаменателя на числовой оси.

Нули числителя ($x=-2, x=2$) включаем в решение (закрашенные точки), так как неравенство нестрогое ($\ge$).

Нули знаменателя ($x=-4, x=7$) исключаем из решения (выколотые точки), так как на ноль делить нельзя.

Расположим точки в порядке возрастания: -4, -2, 2, 7.

3. Определим знаки на полученных интервалах:

$(-\infty; -4)$, $(-4; -2]$, $[-2; 2]$, $[2; 7)$, $(7; +\infty)$

Возьмем пробную точку $x=8$ из крайнего правого интервала:

$\frac{(+)^2(+)^2}{(+)(+)} > 0$. Знак "+".

При переходе через $x=7$ (нечетная кратность 1) знак меняется на "-".

При переходе через $x=2$ (четная кратность 2) знак не меняется, остается "-".

При переходе через $x=-2$ (четная кратность 2) знак не меняется, остается "-".

При переходе через $x=-4$ (нечетная кратность 1) знак меняется на "+".

Знаки на интервалах: + на $(-\infty; -4)$, - на $(-4; 7)$, + на $(7; +\infty)$.

4. Нам нужны промежутки, где выражение больше или равно нулю.

Это интервалы со знаком "+": $(-\infty; -4)$ и $(7; +\infty)$.

Также, в решение входят точки, где числитель равен нулю, а знаменатель не равен нулю. Это точки $x=-2$ и $x=2$.

Объединяем полученные множества.

Ответ: $x \in (-\infty; -4) \cup \{-2\} \cup \{2\} \cup (7; +\infty)$.

Помогло решение? Оставьте отзыв в комментариях ниже.

Присоединяйтесь к Телеграм-группе @gdz_by_belarus

Присоединиться

Мы подготовили для вас ответ c подробным объяснением домашего задания по алгебре за 11 класс, для упражнения номер 1.66 расположенного на странице 20 к учебнику 2020 года издания для учащихся школ и гимназий.

Теперь на нашем сайте ГДЗ.ТОП вы всегда легко и бесплатно найдёте условие с правильным ответом на вопрос «Как решить ДЗ» и «Как сделать» задание по алгебре к упражнению №1.66 (с. 20), авторов: Арефьева (Ирина Глебовна), Пирютко (Ольга Николаевна), учебного пособия издательства Народная асвета.