Номер 1.68, страница 20 - гдз по алгебре 11 класс учебник Арефьева, Пирютко

Алгебра, 11 класс Учебник, авторы: Арефьева Ирина Глебовна, Пирютко Ольга Николаевна, издательство Народная асвета, Минск, 2020, бирюзового цвета

Авторы: Арефьева И. Г., Пирютко О. Н.

Тип: Учебник

Издательство: Народная асвета

Год издания: 2020 - 2025

Цвет обложки: бирюзовый, зелёный с графиком

ISBN: 978-985-03-3165-6

Популярные ГДЗ в 11 классе

Глава 1. Обобщение понятия степени. Параграф 1. Степень с рациональным показателем и ее свойства. Степень с действительным показателем - номер 1.68, страница 20.

№1.68 (с. 20)
Условие. №1.68 (с. 20)
скриншот условия
Алгебра, 11 класс Учебник, авторы: Арефьева Ирина Глебовна, Пирютко Ольга Николаевна, издательство Народная асвета, Минск, 2020, бирюзового цвета, страница 20, номер 1.68, Условие

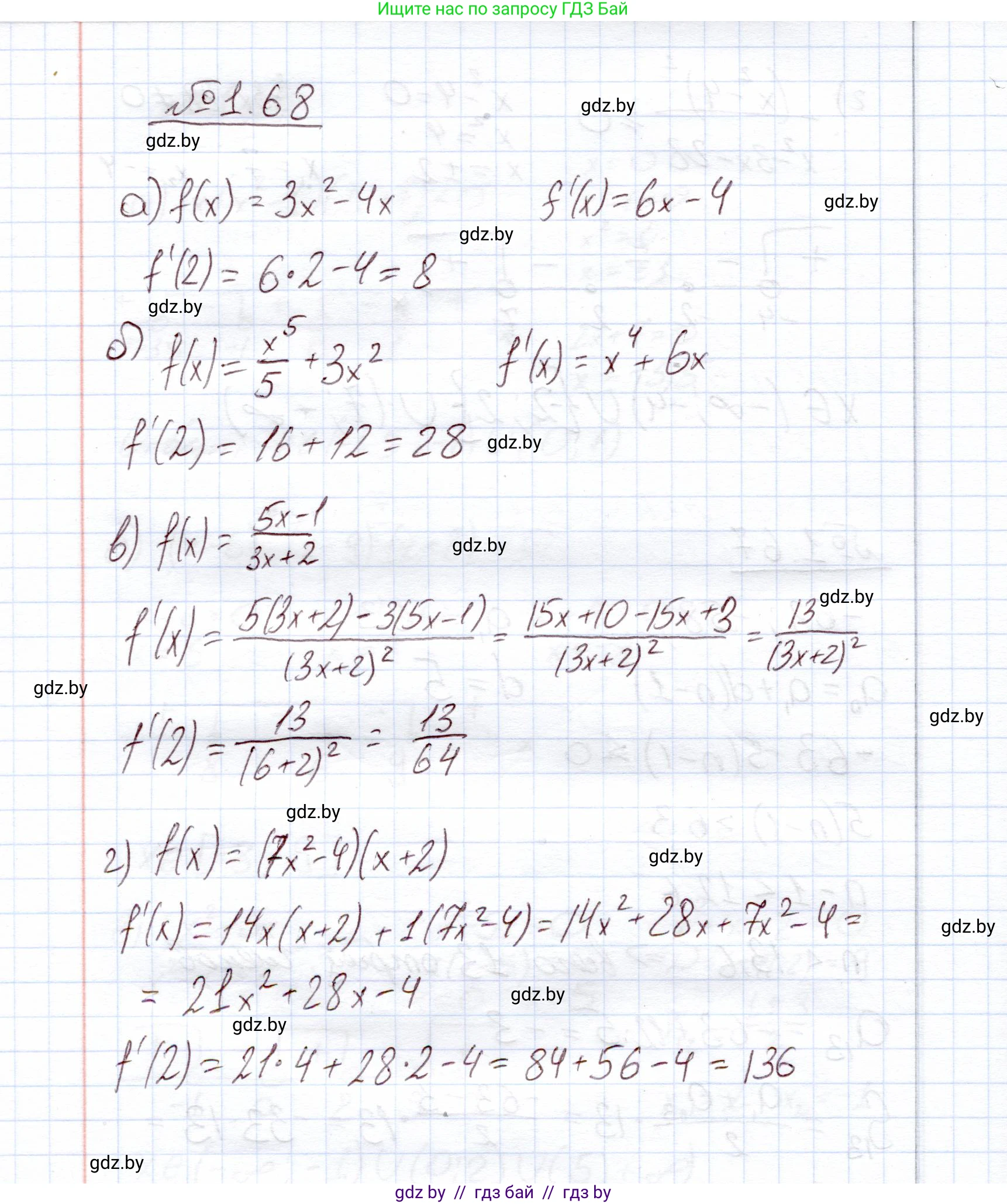
1.68. Найдите $f'(2)$, если:

а) $f(x) = 3x^2 - 4x$;

б) $f(x) = \frac{x^5}{5} + 3x^2$;

в) $f(x) = \frac{5x-1}{3x+2}$;

г) $f(x) = (7x^2 - 4)(x + 2).$

Решение. №1.68 (с. 20)
Алгебра, 11 класс Учебник, авторы: Арефьева Ирина Глебовна, Пирютко Ольга Николаевна, издательство Народная асвета, Минск, 2020, бирюзового цвета, страница 20, номер 1.68, Решение
Решение 2. №1.68 (с. 20)

Чтобы найти значение производной функции $f'(x)$ в точке $x=2$, необходимо сначала найти общую формулу для производной $f'(x)$, а затем подставить в нее значение $x=2$.

а) $f(x) = 3x^2 - 4x$

1. Найдем производную функции $f(x)$, используя правила дифференцирования: $(u-v)'=u'-v'$ и $(ax^n)' = n \cdot ax^{n-1}$.

$f'(x) = (3x^2 - 4x)' = (3x^2)' - (4x)' = 3 \cdot 2x^{2-1} - 4 \cdot 1x^{1-1} = 6x - 4$.

2. Теперь вычислим значение производной в точке $x=2$.

$f'(2) = 6 \cdot 2 - 4 = 12 - 4 = 8$.

Ответ: 8

б) $f(x) = \frac{x^5}{5} + 3x^2$

1. Найдем производную функции $f(x)$. Функцию можно представить как $f(x) = \frac{1}{5}x^5 + 3x^2$.

$f'(x) = (\frac{1}{5}x^5 + 3x^2)' = (\frac{1}{5}x^5)' + (3x^2)' = \frac{1}{5} \cdot 5x^4 + 3 \cdot 2x = x^4 + 6x$.

2. Вычислим значение производной в точке $x=2$.

$f'(2) = 2^4 + 6 \cdot 2 = 16 + 12 = 28$.

Ответ: 28

в) $f(x) = \frac{5x-1}{3x+2}$

1. Для нахождения производной этой функции используем правило дифференцирования частного: $(\frac{u}{v})' = \frac{u'v - uv'}{v^2}$.

В нашем случае $u(x) = 5x-1$ и $v(x) = 3x+2$.

Найдем их производные: $u'(x) = 5$, $v'(x) = 3$.

Подставляем в формулу:

$f'(x) = \frac{5(3x+2) - (5x-1) \cdot 3}{(3x+2)^2} = \frac{15x + 10 - 15x + 3}{(3x+2)^2} = \frac{13}{(3x+2)^2}$.

2. Вычислим значение производной в точке $x=2$.

$f'(2) = \frac{13}{(3 \cdot 2 + 2)^2} = \frac{13}{(6+2)^2} = \frac{13}{8^2} = \frac{13}{64}$.

Ответ: $\frac{13}{64}$

г) $f(x) = (7x^2 - 4)(x + 2)$

1. Для нахождения производной можно сначала упростить выражение для функции, раскрыв скобки.

$f(x) = 7x^2 \cdot x + 7x^2 \cdot 2 - 4 \cdot x - 4 \cdot 2 = 7x^3 + 14x^2 - 4x - 8$.

Теперь найдем производную полученного многочлена.

$f'(x) = (7x^3 + 14x^2 - 4x - 8)' = 7 \cdot 3x^2 + 14 \cdot 2x - 4 = 21x^2 + 28x - 4$.

2. Вычислим значение производной в точке $x=2$.

$f'(2) = 21 \cdot 2^2 + 28 \cdot 2 - 4 = 21 \cdot 4 + 56 - 4 = 84 + 52 = 136$.

Ответ: 136

Помогло решение? Оставьте отзыв в комментариях ниже.

Присоединяйтесь к Телеграм-группе @gdz_by_belarus

Присоединиться

Мы подготовили для вас ответ c подробным объяснением домашего задания по алгебре за 11 класс, для упражнения номер 1.68 расположенного на странице 20 к учебнику 2020 года издания для учащихся школ и гимназий.

Теперь на нашем сайте ГДЗ.ТОП вы всегда легко и бесплатно найдёте условие с правильным ответом на вопрос «Как решить ДЗ» и «Как сделать» задание по алгебре к упражнению №1.68 (с. 20), авторов: Арефьева (Ирина Глебовна), Пирютко (Ольга Николаевна), учебного пособия издательства Народная асвета.