Номер 3.211, страница 146 - гдз по алгебре 11 класс учебник Арефьева, Пирютко

Алгебра, 11 класс Учебник, авторы: Арефьева Ирина Глебовна, Пирютко Ольга Николаевна, издательство Народная асвета, Минск, 2020, бирюзового цвета

Авторы: Арефьева И. Г., Пирютко О. Н.

Тип: Учебник

Издательство: Народная асвета

Год издания: 2020 - 2025

Цвет обложки: бирюзовый, зелёный с графиком

ISBN: 978-985-03-3165-6

Популярные ГДЗ в 11 классе

Глава 3. Логарифмическая функция. Параграф 9. Логарифмические уравнения - номер 3.211, страница 146.

№3.211 (с. 146)
Условие. №3.211 (с. 146)
скриншот условия
Алгебра, 11 класс Учебник, авторы: Арефьева Ирина Глебовна, Пирютко Ольга Николаевна, издательство Народная асвета, Минск, 2020, бирюзового цвета, страница 146, номер 3.211, Условие

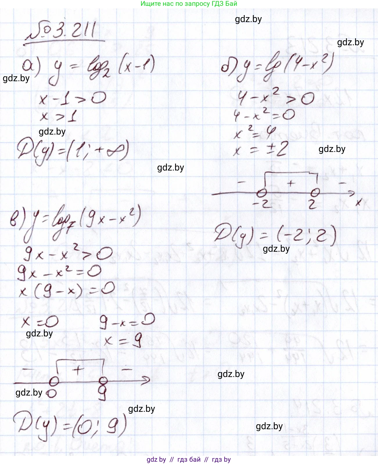
3.211. Найдите область определения функции:

a) $y = \log_{2}(x - 1);$

б) $y = \lg(4 - x^2);$

в) $y = \log_{7}(9x - x^2).$

Решение. №3.211 (с. 146)
Алгебра, 11 класс Учебник, авторы: Арефьева Ирина Глебовна, Пирютко Ольга Николаевна, издательство Народная асвета, Минск, 2020, бирюзового цвета, страница 146, номер 3.211, Решение
Решение 2. №3.211 (с. 146)

а) $y = \log_2(x - 1)$

Область определения логарифмической функции находится из условия, что выражение под знаком логарифма должно быть строго положительным. Для данной функции это означает, что $x - 1 > 0$.

Решим это простое линейное неравенство:

$x - 1 > 0$

$x > 1$

Следовательно, область определения функции — это все числа $x$, большие $1$. В виде интервала это записывается как $(1, +\infty)$.

Ответ: $(1, +\infty)$.

б) $y = \lg(4 - x^2)$

Аргумент логарифма должен быть строго положительным. В данном случае $\lg$ обозначает десятичный логарифм (логарифм по основанию $10$). Составим и решим неравенство:

$4 - x^2 > 0$

Это квадратичное неравенство. Его можно переписать как $x^2 < 4$. Извлекая квадратный корень из обеих частей, получаем $|x| < 2$, что равносильно двойному неравенству $-2 < x < 2$.

Другой способ решения — метод интервалов. Найдем корни уравнения $4 - x^2 = 0$. Разложив на множители, получим $(2 - x)(2 + x) = 0$. Корни уравнения: $x_1 = -2$ и $x_2 = 2$. Эти точки делят числовую ось на три интервала: $(-\infty, -2)$, $(-2, 2)$, $(2, +\infty)$.

Определим знак выражения $4 - x^2$ на каждом интервале. Поскольку это парабола с ветвями, направленными вниз (коэффициент при $x^2$ отрицательный), она будет положительна между корнями. Таким образом, неравенство $4 - x^2 > 0$ выполняется на интервале $(-2, 2)$.

Ответ: $(-2, 2)$.

в) $y = \log_7(9x - x^2)$

Для нахождения области определения функции необходимо, чтобы выражение под знаком логарифма было положительным. Составим неравенство:

$9x - x^2 > 0$

Для решения этого квадратичного неравенства вынесем $x$ за скобку:

$x(9 - x) > 0$

Воспользуемся методом интервалов. Найдем корни соответствующего уравнения $x(9 - x) = 0$. Корни: $x_1 = 0$ и $x_2 = 9$. Эти точки разбивают числовую прямую на интервалы $(-\infty, 0)$, $(0, 9)$ и $(9, +\infty)$.

Определим знак выражения $x(9 - x)$ на каждом из интервалов. Графиком функции $f(x) = 9x - x^2$ является парабола, ветви которой направлены вниз. Следовательно, функция принимает положительные значения между своими корнями, то есть на интервале $(0, 9)$.

Решением неравенства $x(9 - x) > 0$ является интервал $(0, 9)$.

Ответ: $(0, 9)$.

Помогло решение? Оставьте отзыв в комментариях ниже.

Присоединяйтесь к Телеграм-группе @gdz_by_belarus

Присоединиться

Мы подготовили для вас ответ c подробным объяснением домашего задания по алгебре за 11 класс, для упражнения номер 3.211 расположенного на странице 146 к учебнику 2020 года издания для учащихся школ и гимназий.

Теперь на нашем сайте ГДЗ.ТОП вы всегда легко и бесплатно найдёте условие с правильным ответом на вопрос «Как решить ДЗ» и «Как сделать» задание по алгебре к упражнению №3.211 (с. 146), авторов: Арефьева (Ирина Глебовна), Пирютко (Ольга Николаевна), учебного пособия издательства Народная асвета.