Номер 183, страница 187 - гдз по алгебре 11 класс учебник Арефьева, Пирютко

Алгебра, 11 класс Учебник, авторы: Арефьева Ирина Глебовна, Пирютко Ольга Николаевна, издательство Народная асвета, Минск, 2020, бирюзового цвета

Авторы: Арефьева И. Г., Пирютко О. Н.

Тип: Учебник

Издательство: Народная асвета

Год издания: 2020 - 2025

Цвет обложки: бирюзовый, зелёный с графиком

ISBN: 978-985-03-3165-6

Популярные ГДЗ в 11 классе

Упражнения для итогового повторения. Выражения и их преобразования - номер 183, страница 187.

№183 (с. 187)
Условие. №183 (с. 187)
скриншот условия
Алгебра, 11 класс Учебник, авторы: Арефьева Ирина Глебовна, Пирютко Ольга Николаевна, издательство Народная асвета, Минск, 2020, бирюзового цвета, страница 187, номер 183, Условие

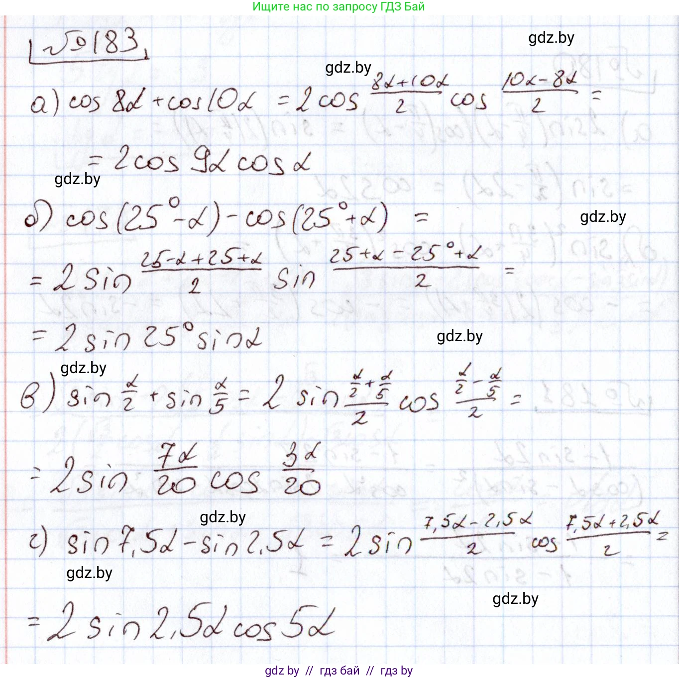
183. Преобразуйте сумму тригонометрических функций в произведение и упростите выражение:

a) $\cos8\alpha + \cos10\alpha$;

б) $\cos(25^\circ - \alpha) - \cos(25^\circ + \alpha)$;

в) $\sin\frac{\alpha}{2} + \sin\frac{\alpha}{5}$;

г) $\sin7.5\alpha - \sin2.5\alpha$.

Решение. №183 (с. 187)
Алгебра, 11 класс Учебник, авторы: Арефьева Ирина Глебовна, Пирютко Ольга Николаевна, издательство Народная асвета, Минск, 2020, бирюзового цвета, страница 187, номер 183, Решение
Решение 2. №183 (с. 187)

а) Для преобразования суммы косинусов в произведение воспользуемся формулой суммы косинусов: $ \cos x + \cos y = 2 \cos \frac{x+y}{2} \cos \frac{x-y}{2} $. В нашем выражении $ \cos 8\alpha + \cos 10\alpha $ поменяем слагаемые местами для удобства (сумма от этого не изменится): $ \cos 10\alpha + \cos 8\alpha $. Пусть $x = 10\alpha$ и $y = 8\alpha$. Подставим значения в формулу:$ \cos 10\alpha + \cos 8\alpha = 2 \cos \frac{10\alpha+8\alpha}{2} \cos \frac{10\alpha-8\alpha}{2} = 2 \cos \frac{18\alpha}{2} \cos \frac{2\alpha}{2} = 2 \cos 9\alpha \cos \alpha $.
Ответ: $ 2 \cos 9\alpha \cos \alpha $.

б) Для преобразования разности косинусов в произведение воспользуемся формулой разности косинусов: $ \cos x - \cos y = -2 \sin \frac{x+y}{2} \sin \frac{x-y}{2} $. В данном выражении $x = 25^\circ - \alpha$ и $y = 25^\circ + \alpha$. Найдем полусумму и полуразность аргументов:$ \frac{x+y}{2} = \frac{(25^\circ - \alpha) + (25^\circ + \alpha)}{2} = \frac{50^\circ}{2} = 25^\circ $.$ \frac{x-y}{2} = \frac{(25^\circ - \alpha) - (25^\circ + \alpha)}{2} = \frac{25^\circ - \alpha - 25^\circ - \alpha}{2} = \frac{-2\alpha}{2} = -\alpha $. Подставим полученные значения в формулу:$ \cos(25^\circ - \alpha) - \cos(25^\circ + \alpha) = -2 \sin(25^\circ) \sin(-\alpha) $. Так как синус — нечетная функция, то $ \sin(-\alpha) = -\sin\alpha $. Следовательно, выражение можно упростить:$ -2 \sin(25^\circ) (-\sin\alpha) = 2 \sin 25^\circ \sin \alpha $.
Ответ: $ 2 \sin 25^\circ \sin \alpha $.

в) Для преобразования суммы синусов в произведение используем соответствующую формулу: $ \sin x + \sin y = 2 \sin \frac{x+y}{2} \cos \frac{x-y}{2} $. Здесь $x = \frac{\alpha}{2}$ и $y = \frac{\alpha}{5}$. Вычислим полусумму и полуразность аргументов:$ \frac{x+y}{2} = \frac{\frac{\alpha}{2} + \frac{\alpha}{5}}{2} = \frac{\frac{5\alpha + 2\alpha}{10}}{2} = \frac{\frac{7\alpha}{10}}{2} = \frac{7\alpha}{20} $.$ \frac{x-y}{2} = \frac{\frac{\alpha}{2} - \frac{\alpha}{5}}{2} = \frac{\frac{5\alpha - 2\alpha}{10}}{2} = \frac{\frac{3\alpha}{10}}{2} = \frac{3\alpha}{20} $. Подставляем найденные значения в формулу:$ \sin \frac{\alpha}{2} + \sin \frac{\alpha}{5} = 2 \sin \frac{7\alpha}{20} \cos \frac{3\alpha}{20} $.
Ответ: $ 2 \sin \frac{7\alpha}{20} \cos \frac{3\alpha}{20} $.

г) Для преобразования разности синусов в произведение применим формулу: $ \sin x - \sin y = 2 \sin \frac{x-y}{2} \cos \frac{x+y}{2} $. В нашем случае $x = 7,5\alpha$ и $y = 2,5\alpha$. Найдем полуразность и полусумму аргументов:$ \frac{x-y}{2} = \frac{7,5\alpha - 2,5\alpha}{2} = \frac{5\alpha}{2} = 2,5\alpha $.$ \frac{x+y}{2} = \frac{7,5\alpha + 2,5\alpha}{2} = \frac{10\alpha}{2} = 5\alpha $. Подставляем полученные значения в формулу:$ \sin 7,5\alpha - \sin 2,5\alpha = 2 \sin(2,5\alpha) \cos(5\alpha) $.
Ответ: $ 2 \sin(2,5\alpha) \cos(5\alpha) $.

Помогло решение? Оставьте отзыв в комментариях ниже.

Присоединяйтесь к Телеграм-группе @gdz_by_belarus

Присоединиться

Мы подготовили для вас ответ c подробным объяснением домашего задания по алгебре за 11 класс, для упражнения номер 183 расположенного на странице 187 к учебнику 2020 года издания для учащихся школ и гимназий.

Теперь на нашем сайте ГДЗ.ТОП вы всегда легко и бесплатно найдёте условие с правильным ответом на вопрос «Как решить ДЗ» и «Как сделать» задание по алгебре к упражнению №183 (с. 187), авторов: Арефьева (Ирина Глебовна), Пирютко (Ольга Николаевна), учебного пособия издательства Народная асвета.