Номер 9, страница 203 - гдз по геометрии 7-9 класс сборник задач Кононов, Адамович

Геометрия, 7-9 класс Сборник задач, авторы: Кононов Сергей Гаврилович, Адамович Тамара Антоновна, Ефимцева Ирина Валерьяновна, Ячейко Таиса Владимировна, издательство Народная асвета, Минск, 2023

Авторы: Кононов С. Г., Адамович Т. А., Ефимцева И. В., Ячейко Т. В.

Тип: Сборник задач

Издательство: Народная асвета

Год издания: 2023 - 2025

Цвет обложки: синий, розовый с треугольником

Допущено Министерством образования Республики Беларусь

Популярные ГДЗ в 7 классе

Повторение курса геометрии 7-9 классов. Итоговый самоконтроль - номер 9, страница 203.

№9 (с. 203)
Условие. №9 (с. 203)
скриншот условия
Геометрия, 7-9 класс Сборник задач, авторы: Кононов Сергей Гаврилович, Адамович Тамара Антоновна, Ефимцева Ирина Валерьяновна, Ячейко Таиса Владимировна, издательство Народная асвета, Минск, 2023, страница 203, номер 9, Условие

9. Теорема о центре вписанной в треугольник окружности

Биссектрисы треугольника пересекаются в одной точке, которая является центром вписанной в треугольник окружности.

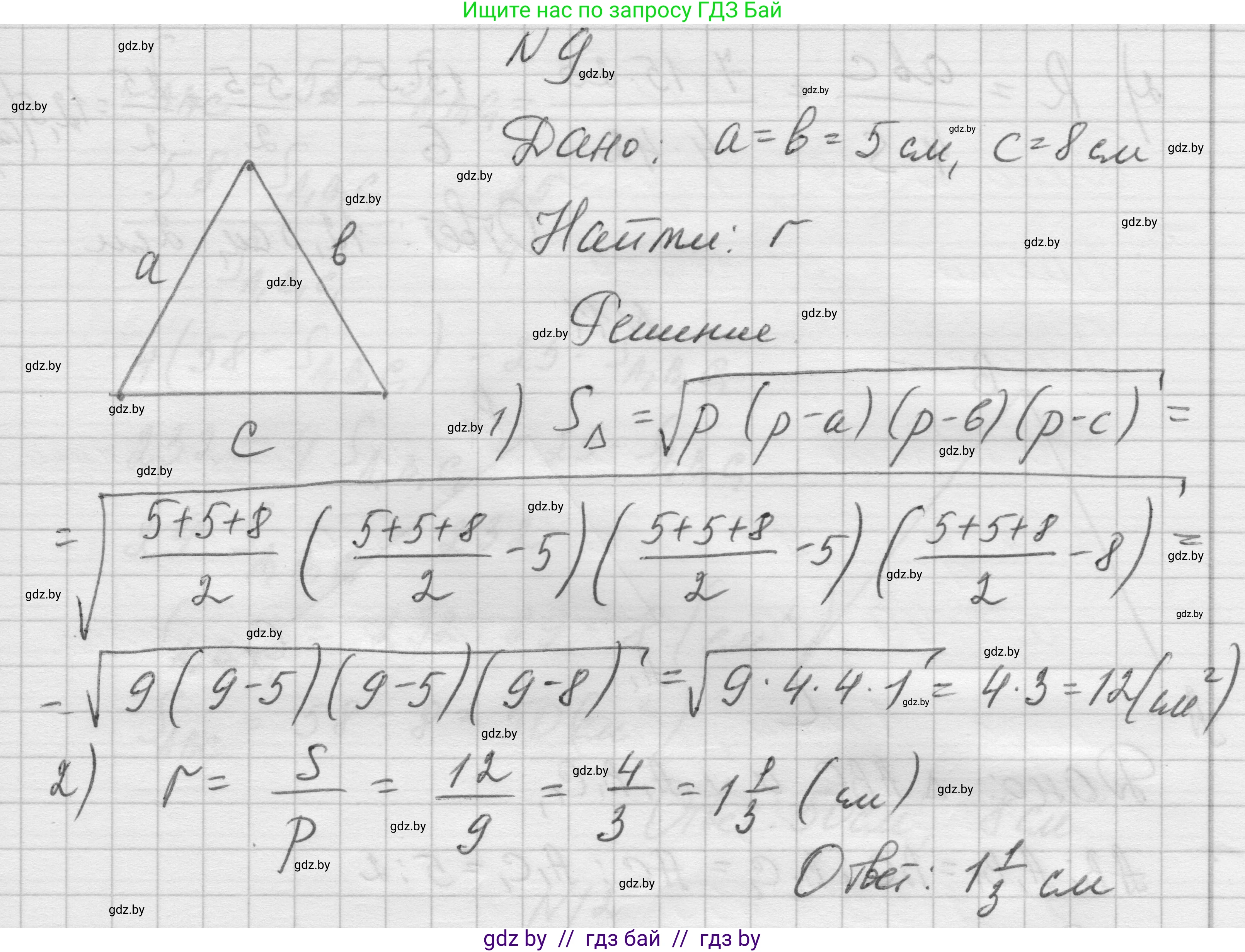
Найдите радиус окружности, вписанной в равнобедренный треугольник, боковая сторона которого равна 5 см, а основание — 8 см.

Решение 1. №9 (с. 203)
Геометрия, 7-9 класс Сборник задач, авторы: Кононов Сергей Гаврилович, Адамович Тамара Антоновна, Ефимцева Ирина Валерьяновна, Ячейко Таиса Владимировна, издательство Народная асвета, Минск, 2023, страница 203, номер 9, Решение 1
Решение 3. №9 (с. 203)

Для решения задачи воспользуемся формулой для радиуса $r$ окружности, вписанной в треугольник:

$r = \frac{S}{p}$

где $S$ — это площадь треугольника, а $p$ — его полупериметр.

1. Найдем полупериметр треугольника

Дан равнобедренный треугольник с боковыми сторонами $a = 5$ см, $b = 5$ см и основанием $c = 8$ см. Периметр $P$ треугольника — это сумма длин всех его сторон:$P = 5 + 5 + 8 = 18$ см. Полупериметр $p$ равен половине периметра:$p = \frac{P}{2} = \frac{18}{2} = 9$ см.

2. Найдем площадь треугольника

Площадь треугольника можно найти несколькими способами.

Способ 1: Использование формулы Герона.Так как нам известны все стороны треугольника, мы можем применить формулу Герона:$S = \sqrt{p(p-a)(p-b)(p-c)}$Подставим наши значения:$S = \sqrt{9(9-5)(9-5)(9-8)} = \sqrt{9 \cdot 4 \cdot 4 \cdot 1} = \sqrt{144} = 12$ см².

Способ 2: Использование высоты.Проведем высоту $h$ к основанию треугольника. В равнобедренном треугольнике высота, проведенная к основанию, является также медианой, поэтому она делит основание на два равных отрезка: $8 / 2 = 4$ см. Мы получаем два прямоугольных треугольника с гипотенузой (боковая сторона) 5 см и одним из катетов 4 см. Найдем второй катет (высоту $h$) по теореме Пифагора:$h^2 + 4^2 = 5^2$$h^2 = 25 - 16 = 9$$h = \sqrt{9} = 3$ см. Теперь вычислим площадь треугольника по формуле:$S = \frac{1}{2} \cdot \text{основание} \cdot h = \frac{1}{2} \cdot 8 \cdot 3 = 12$ см².

3. Найдем радиус вписанной окружности

Теперь, когда у нас есть и площадь $S=12$ см², и полупериметр $p=9$ см, мы можем вычислить радиус вписанной окружности:$r = \frac{S}{p} = \frac{12}{9} = \frac{4}{3}$ см.

Ответ: радиус вписанной окружности равен $\frac{4}{3}$ см (или $1 \frac{1}{3}$ см).

Помогло решение? Оставьте отзыв в комментариях ниже.

Присоединяйтесь к Телеграм-группе @gdz_by_belarus

Присоединиться

Мы подготовили для вас ответ c подробным объяснением домашего задания по геометрии за 7-9 класс, для упражнения номер 9 расположенного на странице 203 к сборнику задач 2023 года издания для учащихся школ и гимназий.

Теперь на нашем сайте ГДЗ.ТОП вы всегда легко и бесплатно найдёте условие с правильным ответом на вопрос «Как решить ДЗ» и «Как сделать» задание по геометрии к упражнению №9 (с. 203), авторов: Кононов (Сергей Гаврилович), Адамович (Тамара Антоновна), Ефимцева (Ирина Валерьяновна), Ячейко (Таиса Владимировна), учебного пособия издательства Народная асвета.