Номер 9, страница 5 - гдз по алгебре 9 класс учебник Арефьева, Пирютко

Алгебра, 9 класс Учебник, авторы: Арефьева Ирина Глебовна, Пирютко Ольга Николаевна, издательство Народная асвета, Минск, 2019, голубого цвета

Авторы: Арефьева И. Г., Пирютко О. Н.

Тип: Учебник

Издательство: Народная асвета

Год издания: 2019 - 2025

Цвет обложки: голубой, синий с графиком

ISBN: 978-985-03-3077-2

Допущено Министерством образования Республики Беларусь

Популярные ГДЗ в 9 классе

Повторение курса алгебры 7—8-х классов - номер 9, страница 5.

№9 (с. 5)
Условие. №9 (с. 5)
скриншот условия
Алгебра, 9 класс Учебник, авторы: Арефьева Ирина Глебовна, Пирютко Ольга Николаевна, издательство Народная асвета, Минск, 2019, голубого цвета, страница 5, номер 9, Условие

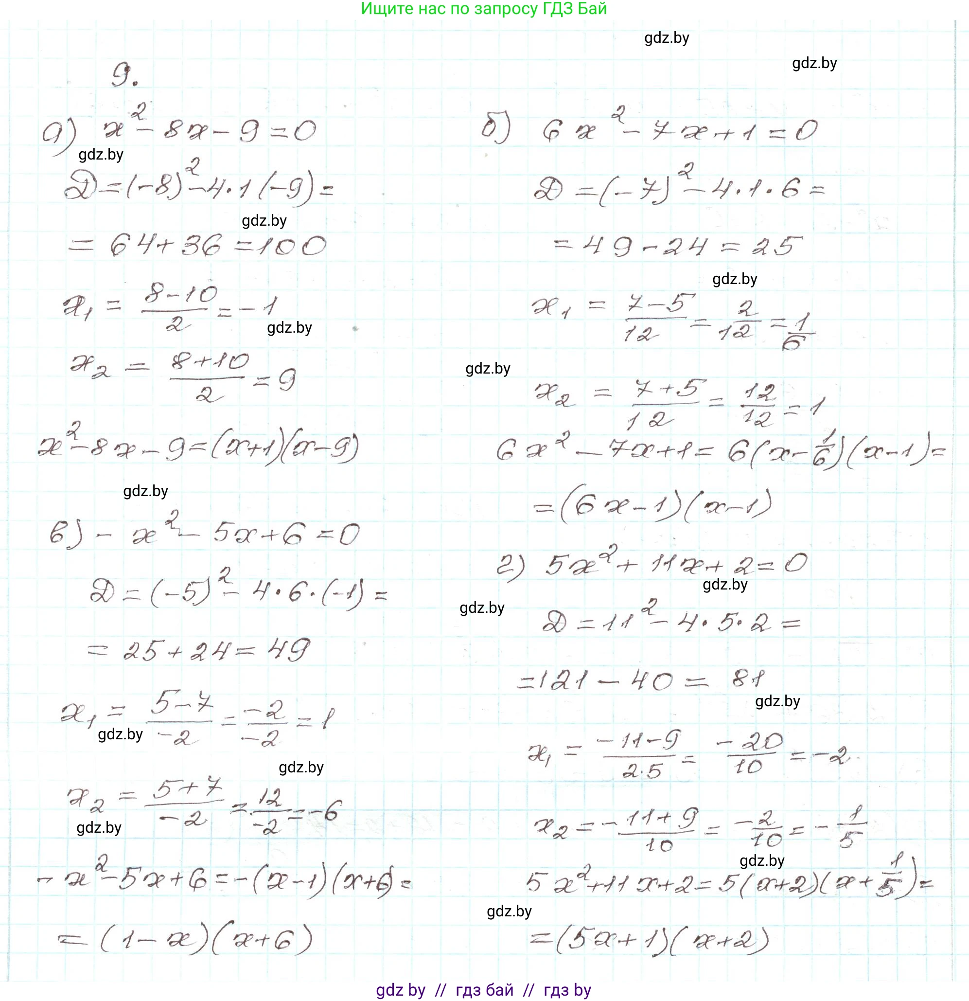
9. Разложите, если это возможно, на множители квадратный трехчлен:

а) $x^2 - 8x - 9;$

б) $6x^2 - 7x + 1;$

в) $-x^2 - 5x + 6;$

г) $5x^2 + 11x + 2.$

$ax^2 + bx + c = a(x - x_1)(x - x_2)$

Решение. №9 (с. 5)
Алгебра, 9 класс Учебник, авторы: Арефьева Ирина Глебовна, Пирютко Ольга Николаевна, издательство Народная асвета, Минск, 2019, голубого цвета, страница 5, номер 9, Решение
Решение 2. №9 (с. 5)

Чтобы разложить квадратный трехчлен $ax^2 + bx + c$ на множители, необходимо найти корни соответствующего квадратного уравнения $ax^2 + bx + c = 0$. Если уравнение имеет корни $x_1$ и $x_2$, то разложение на множители выполняется по формуле: $ax^2 + bx + c = a(x - x_1)(x - x_2)$. Если дискриминант $D < 0$, то действительных корней нет и разложить трехчлен на линейные множители невозможно.

а) $x^2 - 8x - 9$

Решим уравнение $x^2 - 8x - 9 = 0$.
Коэффициенты: $a = 1, b = -8, c = -9$.
Вычислим дискриминант: $D = b^2 - 4ac = (-8)^2 - 4 \cdot 1 \cdot (-9) = 64 + 36 = 100$.
Найдем корни:
$x_1 = \frac{-b + \sqrt{D}}{2a} = \frac{8 + \sqrt{100}}{2} = \frac{8 + 10}{2} = 9$
$x_2 = \frac{-b - \sqrt{D}}{2a} = \frac{8 - \sqrt{100}}{2} = \frac{8 - 10}{2} = -1$
Подставим значения в формулу разложения: $a(x - x_1)(x - x_2) = 1 \cdot (x - 9)(x - (-1)) = (x - 9)(x + 1)$.
Ответ: $(x - 9)(x + 1)$

б) $6x^2 - 7x + 1$

Решим уравнение $6x^2 - 7x + 1 = 0$.
Коэффициенты: $a = 6, b = -7, c = 1$.
Вычислим дискриминант: $D = b^2 - 4ac = (-7)^2 - 4 \cdot 6 \cdot 1 = 49 - 24 = 25$.
Найдем корни:
$x_1 = \frac{-b + \sqrt{D}}{2a} = \frac{7 + \sqrt{25}}{2 \cdot 6} = \frac{7 + 5}{12} = \frac{12}{12} = 1$
$x_2 = \frac{-b - \sqrt{D}}{2a} = \frac{7 - \sqrt{25}}{2 \cdot 6} = \frac{7 - 5}{12} = \frac{2}{12} = \frac{1}{6}$
Подставим значения в формулу: $a(x - x_1)(x - x_2) = 6(x - 1)(x - \frac{1}{6})$.
Чтобы избавиться от дроби, внесем множитель 6 во вторую скобку: $(x - 1) \cdot 6(x - \frac{1}{6}) = (x - 1)(6x - 1)$.
Ответ: $(x - 1)(6x - 1)$

в) $-x^2 - 5x + 6$

Решим уравнение $-x^2 - 5x + 6 = 0$.
Коэффициенты: $a = -1, b = -5, c = 6$.
Вычислим дискриминант: $D = b^2 - 4ac = (-5)^2 - 4 \cdot (-1) \cdot 6 = 25 + 24 = 49$.
Найдем корни:
$x_1 = \frac{-b + \sqrt{D}}{2a} = \frac{5 + \sqrt{49}}{2 \cdot (-1)} = \frac{5 + 7}{-2} = -6$
$x_2 = \frac{-b - \sqrt{D}}{2a} = \frac{5 - \sqrt{49}}{2 \cdot (-1)} = \frac{5 - 7}{-2} = 1$
Подставим значения в формулу: $a(x - x_1)(x - x_2) = -1(x - (-6))(x - 1) = -(x + 6)(x - 1)$.
Ответ: $-(x + 6)(x - 1)$

г) $5x^2 + 11x + 2$

Решим уравнение $5x^2 + 11x + 2 = 0$.
Коэффициенты: $a = 5, b = 11, c = 2$.
Вычислим дискриминант: $D = b^2 - 4ac = 11^2 - 4 \cdot 5 \cdot 2 = 121 - 40 = 81$.
Найдем корни:
$x_1 = \frac{-b + \sqrt{D}}{2a} = \frac{-11 + \sqrt{81}}{2 \cdot 5} = \frac{-11 + 9}{10} = -\frac{2}{10} = -\frac{1}{5}$
$x_2 = \frac{-b - \sqrt{D}}{2a} = \frac{-11 - \sqrt{81}}{2 \cdot 5} = \frac{-11 - 9}{10} = -\frac{20}{10} = -2$
Подставим значения в формулу: $a(x - x_1)(x - x_2) = 5(x - (-\frac{1}{5}))(x - (-2)) = 5(x + \frac{1}{5})(x + 2)$.
Внесем множитель 5 в первую скобку: $5(x + \frac{1}{5})(x + 2) = (5x + 1)(x + 2)$.
Ответ: $(5x + 1)(x + 2)$

Помогло решение? Оставьте отзыв в комментариях ниже.

Присоединяйтесь к Телеграм-группе @gdz_by_belarus

Присоединиться

Мы подготовили для вас ответ c подробным объяснением домашего задания по алгебре за 9 класс, для упражнения номер 9 расположенного на странице 5 к учебнику 2019 года издания для учащихся школ и гимназий.

Теперь на нашем сайте ГДЗ.ТОП вы всегда легко и бесплатно найдёте условие с правильным ответом на вопрос «Как решить ДЗ» и «Как сделать» задание по алгебре к упражнению №9 (с. 5), авторов: Арефьева (Ирина Глебовна), Пирютко (Ольга Николаевна), учебного пособия издательства Народная асвета.